01高温胶带简介
高温胶带的广泛应用
在现代工业生产和科技应用中,胶带作为一种基础而重要的功能性材料,广泛用于粘接、固定、密封和绝缘等领域。然而,在高温环境下,普通胶带往往因耐热性不足而失效,导致粘性下降、基材变形甚至分解,从而影响工艺稳定性和产品可靠性。为此,高温胶带应运而生,它能够在极端温度条件下保持优异的物理和化学性能,满足航空航天、电子制造、汽车工业等领域的苛刻需求。

高温胶带的特点
与普通胶带相比,高温胶带的核心差异在于其耐热材料的选择和结构设计。普通胶带通常以聚丙烯(PP)、聚氯乙烯(PVC)或丙烯酸胶黏剂为基材,耐温范围一般不超过80°C;而高温胶带则采用聚酰亚胺(PI)、玻璃纤维、硅胶或特氟龙(PTFE)等材料,可长期耐受200°C以上的高温,甚至短期承受500°C以上的极端环境。此外,高温胶带还需具备良好的绝缘性、抗化学腐蚀性和机械强度,以适应复杂工况。
02材料要求
01耐高温性
• 基材:在目标温度范围内不发生熔化、分解或脆化。
• 胶黏剂:高温下不软化、不碳化,保持粘接强度。
• 热稳定性:长期暴露于高温环境后,物理化学性能无明显退化。
02粘接性能
• 高温粘附力:在升温后仍能有效粘接不同基材(如金属、陶瓷、塑料)。
• 抗老化性:避免因热氧化导致胶层失效或粉化。
• 低残留:撕除后不留胶渍,适用于精密电子或涂装保护。

03机械性能
• 抗拉强度:高温下不易撕裂或变形,尤其是用于结构固定的场景。
• 柔韧性:部分应用(如电缆包扎)需在低温或高温下保持可弯曲性。
• 尺寸稳定性:低热膨胀系数(CTE),避免因温度变化导致翘曲或分层。

04环境适应性
• 耐化学腐蚀:抵抗酸、碱、溶剂等侵蚀,适用于化工或汽车行业。
• 阻燃性:符合UL94、ROHS等安全标准,避免火灾风险。
• 绝缘/导电需求:电子行业可能要求绝缘(如聚酰亚胺)或导电(如含金属填料)特性。

03材料选择
基材选择

胶黏剂选择
• 有机硅胶黏剂(耐温300°C):柔韧性好,耐老化,适用于需要反复粘贴的场景(如汽车密封)。
• 改性丙烯酸胶黏剂(耐温200°C):粘接力强,低挥发,适合电子封装。
• 耐高温压敏胶(PSA):需优化交联度,以平衡初粘力和高温稳定性。
功能增强材料
• 陶瓷涂层:用于超高温(>1000°C)场景,如航天发动机隔热。
• 导电填料(如银浆):制造导电胶带,用于EMI屏蔽或接地应用。
• 复合结构设计:如“PI基材+硅胶胶层+离型膜”,兼顾耐温性和工艺适应性。
04改性方法
01无机纳米填料改性
通过在聚酰亚胺基体中引入无机纳米材料,如纳米氧化物(SiO₂、Al₂O₃)、纳米碳材料(石墨烯、碳纳米管)、纳米粘土等。
无机纳米填料具有高热稳定性和优异的热导性能,能够在聚合物基体内部形成热阻挡网络,同时限制分子链的运动,显著提高材料的热分解温度和热机械稳定性。此外,均匀分散的纳米填料可增强材料结构的致密性和机械强度,从而进一步改善耐热性能。
02化学结构改性
通过引入芳香环、杂环结构、刚性链段或具有高热稳定性的官能团(如腙、三嗪、吡咯等)来改善聚酰亚胺的分子结构。
刚性和共轭结构可以增加分子链的热稳定性和玻璃化转变温度(Tg),减少链段运动,提高热分解温度。同时,增加分子间的作用力(如氢键、π-π堆积)有助于提升整体的热稳定性和耐热性能。

03共聚与共混改性
通过与其他高耐热性的聚合物共聚或共混,如聚芳醚醚酮(PEEK)、聚苯硫醚(PPS)、多环芳香族聚合物等。
共聚能在分子链中引入不同结构单元,调节链间相互作用及链刚性,优化热性能。共混则通过物理混合形成相容性良好的复合体系,充分发挥各组分的优点,提高热稳定性和耐热老化性能。同时,共聚或共混能改善加工性能,拓宽材料应用范围。
05案例分析
耐热性改性
为了提高聚酰亚胺(PI)纤维在恶劣环境下的耐热性,可通过增强聚合物分子结构的刚性或引入无机填料来实现。无机改性的方法可显著提高复合材料热氧稳定性,但由于无机填料在基体中分散性不足以及与基体界面相容性欠佳等原因,影响实际应用效果。
通过引入刚性单体提高聚酰亚胺耐热性能也是一种很有前景的策略,在诸多研究中均有体现,通过共聚将p-PDA引入Kapton型聚酰亚胺中,增加的苯环密度可提高聚酰亚胺链的刚性,从而显著增强所制备纤维的热稳定性。
然而,p-PDA含量增加分子刚度增强,会导致酰胺化的PI纤维分子链迁移率降低,热牵伸性能下降。
本研究中,通过干法纺丝法制备了一系列共聚酰亚胺。主要关注引入的p-PDA对co-PI纤维耐热性和力学性能的影响,并分析不同p-PDA含量的co-PI纤维在热分解过程中的差异。
成果介绍

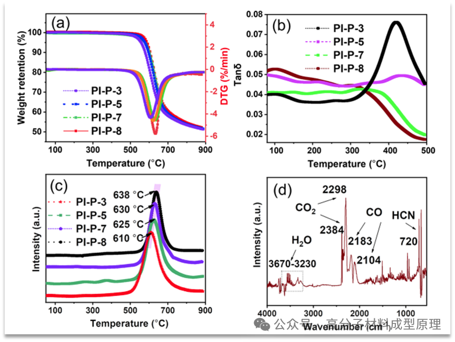
热重分析仪测试表明,引入p-PDA提高了聚酰亚胺纤维的耐热性,其10 wt%失重温度范围为582~605 ℃,不同p-PDA含量co-PI纤维的最快热分解温度为611−635 °C。
通过引入p-PDA,体系中O元素(ODA中的醚键)含量降低,导致聚酰亚胺分解过程中ODA中的氧自由基减少。活性物质的减少可以引起分解速率的降低从而提高聚酰亚胺纤维的耐热性。

纤维分子堆积方式被认为是影响其机械性能的主要因素,通过WAXD对牵伸纤维聚集态结构进行分析。图中赤道线方向衍射图谱清晰可见,表明纤维赤道线方向上,分子链沿纤维横向堆叠较差,难以形成有序结构。
相反所有co-PI纤维在子午线方向显示出不同的衍射弧,表明沿着纤维轴向分子链高度取向,而这通常被认为是纤维优异机械性能的来源。
随p-PDA含量增加,子午线方向的衍射弧逐渐变长,表明聚合物链的取向降低,这是由热拉伸比降低引起的。
Copyright © 2023-2043 湖北省金中德科技机械设备有限责任公司 备案号:鄂ICP备2022013949号-1 网站维护:武汉网站建设公司