
研究背景
图 7 修复后的琼脂/HPAAm DN凝胶和修复后的HPAAm SN凝胶的拉伸应力-应变曲线
2.4.发展趋势及存在问题 随着基于双网络结构的高弹性自修复水凝胶不断被探索,例如Dutta等人研究了聚丙烯酰胺/壳聚糖超分子的双网络水凝胶,其拉伸可至原始长度30倍;GUO P等人制备了基于聚乙烯醇和聚6-丙烯酰胺己酸的双网络水凝胶,断裂后仅可通过浸泡即可修复。 这种双网络水凝胶结构中引入可逆共价键或非共价键相互作用的创新为高弹性的自修复高分子材料设计提供了新思路,但也存在着一定的问题。由于水凝胶本身的含水率较多,使其力学性能与传统工程材料相比仍显著不足,而且高弹性与自修复性的交联强弱矛盾仍然存在,高弹性好而修复性就较低,未来仍需探索新的改进方向,例如进行非水凝胶体系拓展或引入其他能量耗散机制以提升器力学性能。但由于其材料本身特性,在加工成型的过程中不可能完全没有缺陷,产生的裂纹缺陷会降低高分子材料的服役寿命。因此1996年Dry C提出并研究制备了具有自我修复裂纹能力的聚合物基复合材料,之后立即成为了高分子材料研究的热点领域。
自修复本来是生物领域的重要名词,而自修复的高分子材料指的是当受到外界损害时,自修复高分子材料能对裂纹通过机理作用进行重新填补,实现自行愈合。目前结构性材料的自修复主要分为外援型和本征型,外援型主要通过外部预置修复载体(如微胶囊、中空纤维)实现修复,依赖机械损伤触发修复剂释放,修复过程被动且受限于载体储量,通常仅能单次或有限次修复同一部位,适用于局部损伤修复。White等人提出的微胶囊体系修复机理如图1,通过加入由裂纹控制释放的微胶囊修复试剂实现断裂面修复。

图 1 微胶囊体系修复机理
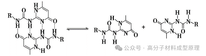
本征型是基于材料内部可逆化学键(共价/非共价键)或分子动态相互作用,主动响应损伤并实现修复,无需外部干预,理论上可多次甚至无限次修复同一部位,适用于整体性能恢复和复杂功能修复,这种动态相互作用源于动态可逆共价键和非共价键,如Diels-Alder反应(如图2)、氢键(如图3)等等。

图 2 Diels-Alder反应示意图

图 3 2个 UPy分子的可逆四重氢键相互作用
高分子材料本身是三维网状结构,在受到外力作用时,强交联会使材料通过熵弹性回复到最初的无序状态,然而对于具有可逆化学键的本征型自修复材料而言,较弱的动态交联点是必要的,在材料受到损伤时,动态共价键相比于其他非可逆共价键优先断裂,然后在界面结合处重新结合以修复损伤。所以强交联保障高弹性但抑制自修复,弱动态交联利于自修复却牺牲高弹性(如图4)。如何打破“弹性-自修复”的权衡呢?

图 4 高分子材料的拉伸(a)和
修复(b)过程中的结构变化示意图
案例分析
2.1.研究方法
针对弹性与自修复的权衡问题,Qiang Chen等人通过引入强疏水相互作用的延展性、非软凝胶作为第二网络来提高双网络水凝胶的抗疲劳性和自修复性能。并且基于该设计方法,合成了一种新型的完全物理交联的琼脂/疏水缔合聚丙烯酰胺凝胶。
2.2.研究过程

图 5 采用一锅法制备完全物理交联的琼脂/HPAAm 双网络水凝胶
如图5为采用一锅法制备完全物理交联的琼脂/HPAAm 双网络(DN)水凝胶的步骤,首先是将Acrylamide(丙烯酰胺,AM)、Agar Powder(琼脂)、UV Initiator(紫外线引发剂)和SDS+SMA(十二烷基硫酸钠+甲基丙烯酸甲酯)加入到SDS/NaCl水溶液中,加热至95℃,此过程中琼脂形成线性大分子,而SMA溶解在SDS胶束中形成可聚合胶束,形成透明溶液。然后第二步将溶液冷却,使琼脂通过氢键缔合作用聚集为琼脂螺旋束从而形成第一层水凝胶网络。 第三步在紫外光条件下琼脂的第一层凝胶与其他未反应的物质进行紫外光聚合,具体通过SMA和AM胶束共聚形成第二层物理交联的HPAAm网络。第二层HPAAm网络与第一层网络相互渗透,通过十二烷基硫酸钠中的烷基与甲基丙烯酸甲酯胶束的强疏水相互作用形成。
2.3.研究结果
如图6左图为琼脂/HPAAm 双网络水凝胶的拉伸实验,分别进行了普通拉伸(a→b),打结拉伸(c→d),扭曲拉伸(e→f),可以明显看出制备的凝胶具有优异的形状恢复性能,而且通过对比琼脂/HPAAm 双网络水凝胶与其他凝胶的断裂能大小,如图6右图,可知琼脂/HPPAm 双网络水凝胶撕裂能约1000j/m2,与橡胶相当,即具有很好的高弹性。

图 6 琼脂/HPAAm DN 凝胶的拉伸实验和断裂能对比测试
使用修复的琼脂/HPPAm DN凝胶和另一种修复凝胶HPPAm SN进行自修复测试(如图7),右图结果显示琼脂/HPAAm DN凝胶的σ f达到0.109MPa,而修复后的HPAAm SN凝胶σ f ,0约0.033MPa,左图显示虽然在修复效率上制备的DN凝胶为40%不如普通的SN凝胶的50%,但是修复后的DN凝胶力学性能远优于SN凝胶。

图 7 修复后的琼脂/HPAAm DN凝胶和修复后的HPAAm SN凝胶的拉伸应力-应变曲线
2.4.发展趋势及存在问题
随着基于双网络结构的高弹性自修复水凝胶不断被探索,例如Dutta等人研究了聚丙烯酰胺/壳聚糖超分子的双网络水凝胶,其拉伸可至原始长度30倍;GUO P等人制备了基于聚乙烯醇和聚6-丙烯酰胺己酸的双网络水凝胶,断裂后仅可通过浸泡即可修复。 这种双网络水凝胶结构中引入可逆共价键或非共价键相互作用的创新为高弹性的自修复高分子材料设计提供了新思路,但也存在着一定的问题。由于水凝胶本身的含水率较多,使其力学性能与传统工程材料相比仍显著不足,而且高弹性与自修复性的交联强弱矛盾仍然存在,高弹性好而修复性就较低,未来仍需探索新的改进方向,例如进行非水凝胶体系拓展或引入其他能量耗散机制以提升器力学性能。
Copyright © 2023-2043 湖北省金中德科技机械设备有限责任公司 备案号:鄂ICP备2022013949号-1 网站维护:武汉网站建设公司